![]()
The Spontaneous Reaction Library has been developed as a component of the Chemical Transformation Simulator (CTS), a web-based software tool under development in EPA’s Office of Research and Development. The library is implemented in CTS to predict the likely transformation products in the environment for an organic chemical of interest.
The Spontaneous Reaction Library contains aqueous reactions that occur very quickly and is intended to be combined with other CTS reaction libraries. It was developed to capture the rapid transformation of intermediates that form due to other transformation processes (e.g., hydrolysis or photolysis).
Version 1.0 of the Spontaneous Reaction Library contains one reaction scheme:
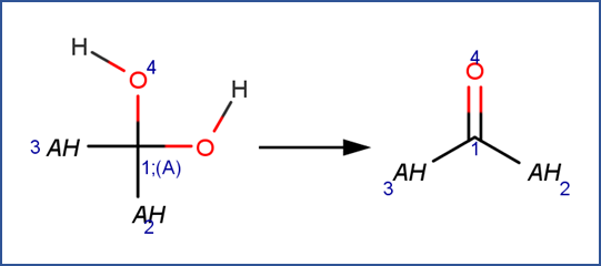
SCHEME:

This scheme is actually an equilibrium reaction between a geminal diol and a carbonyl compound; however, the carbonyl compound is dominant, except in the case of simple aldehydes (e.g., formaldehyde) (McMurry, 2011, p. 731). It is necessary to include the dehydration of geminal diols to correctly predict the observed products in many hydrolysis and photolysis studies.
EXAMPLES:
· 1,1,1‐trichloroethane (Gerkens and Franklin, 1989; Miyamoto and Urano, 1996; U.S. EPA, 1992)

The first two steps in this scheme are hydrolysis reactions that would be predicted by the Nucleophilic Substitution (geminal X) scheme in the CTS Abiotic Hydrolysis Reaction Library. The diol produced by these two sequential steps will quickly be transformed into acetyl chloride. The acetyl chloride will then be further hydrolyzed into acetic acid, as would be predicted by the Acid Halide Hydrolysis scheme in the CTS Abiotic Hydrolysis Reaction Library.
REFERENCES:
Gerkens, R.R. and J.A. Franklin. 1989. The rate of degradation of 1,1,1-trichloroethane in water by hydrolysis and dehydrochlorination. Chemosphere. 19(12): 1929-1937.
McMurry, J.E. 2011. Organic Chemistry, 8th ed. Boston, MA: Cengage Learning.
Miyamoto, K. and K. Urano. 1996. Reaction rates and intermediates and chlorinated organic compounds in water and soil. Chemosphere. 32(12): 2399-2408.
U.S. EPA (United States Environmental Protection Agency). 1992. Environmental fate constants for organic chemicals under consideration for EPA’s Hazardous Waste Identification Rule. EPA/601/R-92/006.